미적분-5 도함수의 활용 3번 풀이 (5등급 수학) > 고등 공부

미적분-5 도함수의 활용 3번 풀이 (5등급 수학)

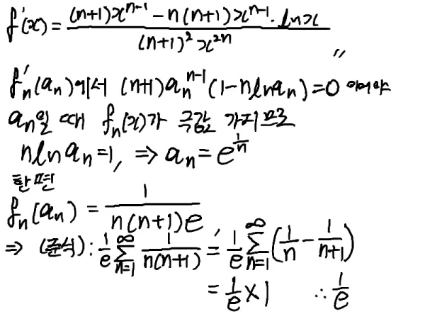
본문


Drawing


Drawing


좋아요32 이 글을 좋아요하셨습니다
url 복사 카카오톡 공유 라인 공유 페이스북 공유 트위터 공유

등록된 댓글이 없습니다.

  • RSS
  • _  글쓰기 글쓰기
전체 47건
게시물 검색

접속자집계

오늘
8,398
어제
6,687
최대
42,418
전체
2,349,203